Odbojniki, zwane także zderzakami, służą do skutecznego ograniczenia ruchu maszyn i urządzeń.

Typowe obszary zastosowania to: wagony, dźwigi, suwnice, maszyny leśne, opadające części urządzeń. Poniżej przykład zastosowania zderzaka ANB pojedynczego oraz podwójnego w układzie szeregowym.

Dobór zderzaka
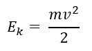
Zderzak dobiera się tak, żeby był w stanie pochłonąć całą energię kinetyczną urządzenia. Jeżeli urządzenie ma masę mi porusza się z prędkością v, to jego energia kinetyczna wynosi (wzór 1):

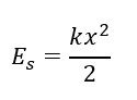
W czasie zderzenia z odbojnikiem, energia kinetyczna urządzenia zamieniana jest na energię potencjalną sprężystości odbojnika. Energia ta zależna jest od ugięcia odbojnika x i jego współczynnika sprężystości k (wzór 2):

Jeżeli producent odbojników udostępnia w katalogu charakterystyki swoich produktów, to prawidłowy dobór jest ułatwiony. Poniżej wykres z katalogu firmy Trelleborg AVS dla zderzaka ANB200.
Na osi X przedstawione jest ugięcie zderzaka (w mm), a na osi Y siła (część górna) oraz energia potencjalna sprężystości (część dolna). Dopuszcza się ugięcie zderzaka do ok. 50% wysokości w stanie nieobciążonym. ANB200 ma wysokość 160 mm, stąd maksymalne ugięcie na wykresie 82 mm.
Mając do dyspozycji taki wykres, wystarczy policzyć energię kinetyczną ze wzoru 1 i dobrać taki zderzak oraz taką ilość, żeby cały układ tych zderzaków pochłonął całkowicie energię kinetyczną urządzenia.











